函数y=x^x的图像与性质
函数y=x^x,y=xx的图像与性质
设函数
其中,x>0。
对上式两边取对数,有

对x求导,有

其中,等式左侧运用了隐函数求导法则,即将y视为x的函数。
整理,得

令y′=0,解得

随着x的变化,y和y'变化情况如下
x | (0,1/e) | 1/e | (1/e,+∞) |
y' | - | 0 | + |
y | ↘ | 极小 | ↗ |
因此,函数在(0,1/e)上单调递减,在(1/e,+∞)上单调递增。即在x=1/e处取得极小值

利用计算器,可以得出近似值为0.6922,非常接近ln2。
函数y=x^x的图像,如图所示。

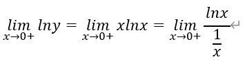
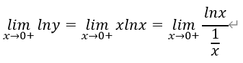
显然,当x→+∞时,y→+∞;当x→0+时,有

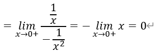
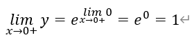
利用洛必达法则,有

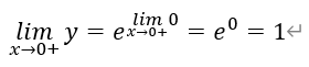
因此,有

即值为1。
[例题](2024年10月,北京理工大学附中高三月考)若0<a<b<1,c>1,则( )。
A)aa<bb B) aa>bb C)logac>logbc D)abc<ba
[答案]C
[解析]根据函数y=x^x的性质可知,其在(0,1)上不单调。因此,选项A和选项B均错误。
关于选项C:由于c>1,所以考虑对数函数y=logcx。显然该函数在(0,+∞)上单调递增。由于0<a<b<1,所以

利用换底公式的推论

于是,有

两边取倒数,有

因此,选项C正确。
关于选项D:由于c>1,所以c-1>0。又由于0<a<b<1,所以

考虑指数函数y=(a/b)^x。显然该函数在R上单调递减。于是,有

整理,得

因此,选项D错误。
综上,选项A、B、D错误,选项C正确。故选C。
扫描二维码推送至手机访问。
特别声明:
本站属于公益性网站,纯粹个人原因(陪孩子学习便于查询和教授),网站部分内容收集于网络,仅供学生和老师参考、交流使用,请勿用作其他商业收费用途。
如果网站内容能给你带来提升,那便是我经营此网站的初衷。网站相关内容如有问题,请及时提出,我在此谢谢!
本站尊重原创并对原创者的文章表示肯定和感谢,如有侵权请联系删除!针对本站原创内容,本站也欢迎转载,如需转载请注明出处。